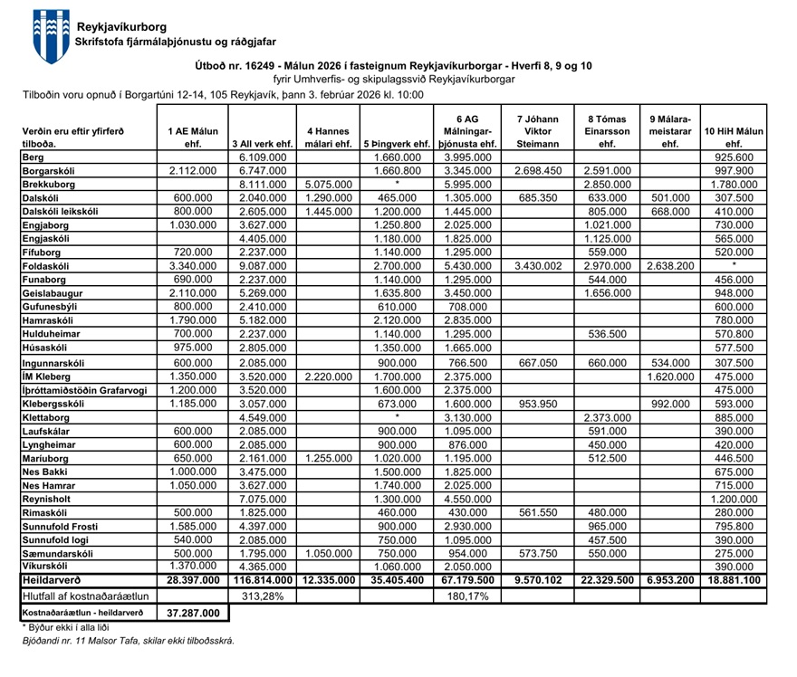
Home Fréttir Í fréttum Opnun útboðs: Málun 2026 – Hverfi 8-9-10 FréttirÍ fréttumNiðurstöður útboða Opnun útboðs: Málun 2026 – Hverfi 8-9-10 By byggingar - 17/02/2026 107 0 FacebookTwitterPinterestWhatsAppLinkedinEmailPrint Heimild: Reykjavik.is